Documents and Memorabilia (1. SCHUBERT)

Signature of Christian Schubert on the Document of Agreement signed by the Old Lutheran emigrants at Plymouth, 28 July, 1838 (SLSA PRG 174/33).
Marriage record of Christian Schubert and Rosina Irrgang nee Krause, marriage register of Rev. T. Q. Stow, Adelaide, SA, 1844 [David Schubert].
Memorandum of Agreement between Johann Friedrich Kauschke and Christian Rothe (not Bothe), 1854.
Memorandum of Agreement between Johann Friedrich Kauschke and Christian Rothe (not Bothe), 1854 (transcription, Herbert Mees).
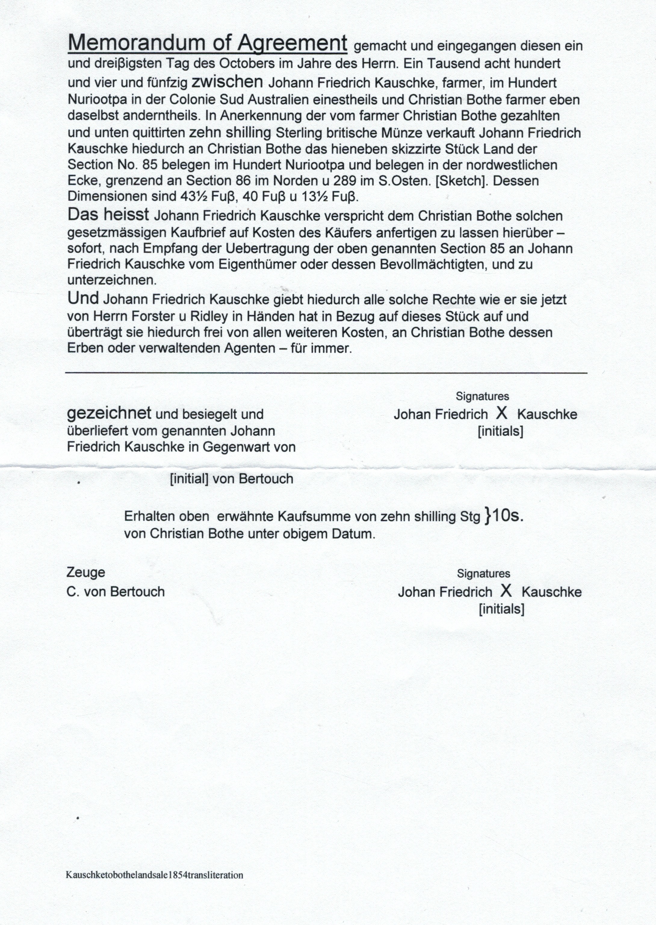
Memorandum of Agreement between Johann Friedrich Kauschke and Christian Rothe (not Bothe), 1854 (translation, Herbert Mees).
Marriage registration of Rosina Schubert (Krause, previously Irrgang) and Christian Rothe, Langmeil (Tanunda), SA, 1854 [BDMSA/ Reg Munchenberg].
Receipt for lease of burial plots, Langmeil Cemetery, SA, Christian Rothe, 1865.
Legal agreement between Christian Rothe (not Bothe) and Carl August Schubert, Langmeil SA, 1874.
Legal agreement between Christian Rothe (not Bothe) and Carl August Schubert, Langmeil SA, 1874 (transcription, Herbert Mees).
Legal agreement between Christian Rothe (not Bothe) and Carl August Schubert, Langmeil SA, 1874 (translation, Herbert Mees).